Diplomarbeit von Andrè Neubert, HTW-Dresden (FH), Fachbereich Bauingenieurwesen/Architektur, Studiengang Bauingenieurwesen 
 Thema: "Entwicklung einer Softwarekonzeption als Lehrhilfe für symbolische Darstellungen auf dem Gebiet der Festigkeitslehre"

Eindimensionale Bauteile - Festigkeit

zzz
Biegespannungen
 

Biegespannungen entstehen durch Lasten, die Bauteile auf Biegung beanspruchen. Hierbei sind die einachsige Biegung und die zweiachsige Biegung zu unterscheiden. (Siehe [Applet 1u.2])
 

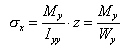
Einachsige Biegung

Träger haben Belastungen aufzunehmen und diese Lasten auf die Auflager zu übertragen. Infolge der Belastung biegen sich Träger durch. Diese Biegung kann jedoch nur stattfinden, wenn der untere Trägerbereich gedehnt und der obere Trägerbereich gestaucht wird bzw. umgedreht. Dehnungen entstehen bei Zugbeanspruchungen, Stauchungen werden bei Druckbeanspruchungen bewirkt. Zwischen Dehnungen und Stauchungen ist eine Übergangszone ohne Formänderungen. Dort wirken auch keine Spannungen, es ist die Spannungsnullinie. Diese liegt in Höhe der Schwerachse des Trägers. Von dieser neutralen Faser nehmen die Dehnungen und Stauchungen zu den äußeren Rändern stetig zu. Demzufolge sind die Spannungen auch an den Rändern am größten. Damit ist klar zu erkennen, daß sich die Spannungen nicht gleichmäßig über die Querschnittsfläche verteilen. 

Spannungsrelation:  oder 
 

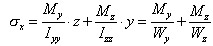
Zweiachsige Biegung

Die Träger werden auf zweiachsige Biegung beansprucht, wenn rechtwinklig auf die Querschnittsachsen die Belastungen Pz und Py wirken. Dadurch entstehen Biegemomente My und Mz zu gleicher Zeit. Diese Biegung wird auch als Doppelbiegung bezeichnet. 
Ein Sonderfall ist die schiefe Biegung. Bei der schiefen Biegung wirkt die Belastung nur in einer Ebene, wobei jedoch diese Ebene schräg zu den beiden Querschnittshauptachsen liegt und durch die Schwerachse geht.    /9/
 
 

Spannungsrelation:
 
 

 

 © 2001 Andrè Neubert  -  Version 1.00 vom 30.06.2001