z zz |
Haupt- und Vergleichsspannungen / Spannungshypothesen
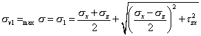
Hauptspannung
Bauteile werden häufig
durch Normalspannungen s und durch Schubspannungen t gleichzeitig beansprucht.
Das ist z.B. bei biegebeanspruchten Trägern der Fall. Hierbei ist
die Kenntnis der absolut größten Spannung oft wichtig. Bei Trägern
und ähnlichen Bauteilen entstehen jedoch die größten Normalspannungen
und Schubspannungen nicht immer an der selben Stelle. Dort, wo beispielsweise
die Normalspannungen ihren größten Wert erreichen, sind die
Schubspannungen gleich Null.
Wenn eine Stelle eines Trägers
gleichzeitig mit Normalspannungen s und
Schubspannungen t
ausgesetzt ist, stellt man sich ein kleines Teilchen an dieser Stelle herausgeschnitten
vor. Es läßt sich für jedes Teilchen eine Schnittrichtung
finden, für welche die Schubspannungen t
zu Null werden und die Normalspannungen s
ihren Größtwert erreichen oder umgedreht. Diese maximalen Normalspannungen
bzw. Schubspannungen werden als Hauptspannungen bezeichnet.
Das Teilchen wird also um
einen Winkel a gedreht.
Der Winkel a,
für den beispielsweise die Schubspannungen gleich Null werden, läßt
sich aus den vorhandenen Spannungen am herausgeschnittenen Teilchen berechnen.
Um die Berechnungen vereinfachen zu können, unterscheidet man die
sogenannten Spannungszustände nach den am Teilchen anliegenden Spannungen.
Sind alle bekannten Spannungen vorhanden, also sx, sy, sz, txz=tzx, txy=tyx,
tzy=tyz, spricht man vom dreiachsigen Spannungszustand, sind allerdings
nur sx, sz, txz=tzx vorhanden spricht man vom zweiachsigen Spannungszustand
und liegen nur sx, txz=tzx an, dann ist vom einachsigen Spannungszustand
die Rede. An dieser Stelle sei noch erwähnt, daß an einem Träger
durchaus an einer Stelle der Dreiachsige an anderer Stelle der Zweiachsige
oder der einachsige Spannungszustand vorkommen kann. Dies führt in
der Praxis zum Definieren von Störbereichen, in denen die Spannungsuntersuchung
gesondert durchgeführt wird. (Siehe [Applet
3])
Vergleichsspannungen
Die Formeln für die
Vergleichsspannungen haben sich aus der Überlegung ergeben, wie bei
einem mehrachsigen Spannungszustand die größten Normalspannungen
ermittelt werden können. Für spröde Baustoffe (z.B. Spannbeton)
wird damit das Tragverhalten recht genau erfaßt. Das Verhalten von
Baustahl ist jedoch anders. Stahl ist ein zäh-plastischer Baustoff.
Um diese Baustoffeigenschaften für die Nachweise genauer erfassen
zu können, werden die Hauptspannungen unter Berücksichtigung
der Bruchhypothesen ermittelt. Man kennt vier Bruchhypothesen:
Hinweis: Die folgenden
Relationen beziehen sich auf den zweiachsigen Spannungszustand.
1. Normalspannungshypothese
Bruch tritt dann ein,
wenn die größte vorhandene Normalspannung einen bestimmten Wert
erreicht hat.
Anwendung: Grauguß,
Beton; Bruchfigur:Trennbruch.
2. Dehnungshypothese
Bruch tritt bei größter
aufnehmbarer Dehnung ein.
Anwendung: Veraltet;
bei spröden Stoffen.
3. Schubspannungshypothese
Die größte
vorhandene Tangentialspannung wird für den Bruch verantwortlich gemacht.
Anwendung: Bei zähen
Baustoffen, z.B. Stahl; Bruchfigur: Schiebungs- oder Gleitbruch - sicherer
als 4. Hypothese.
4. Gestaltänderungsenergie-Hypothese
Als Bruchursache wird ein Teil der Formänderungsenergie, nämlich
die Gestaltänderungsenergie angesetzt.
Anwendung: Bei zähen
Baustoffen, z.B. Stahl; Bruchfigur: Schiebungs- oder Gleitbruch.
|