Diplomarbeit von Andrè Neubert, HTW-Dresden (FH), Fachbereich Bauingenieurwesen/Architektur, Studiengang Bauingenieurwesen 
 Thema: "Entwicklung einer Softwarekonzeption als Lehrhilfe für symbolische Darstellungen auf dem Gebiet der Festigkeitslehre"

Eindimensionale Bauteile - Festigkeit

zzz
Schubspannung

Bei Trägern können durch die von ihnen zu tragenden Belastungen stets Biegemomente entstehen. Durch quer zur Längsachse wirkende Lasten entstehen Querkräfte. Bei der Berechnung der Biegespannungen wurden die Querkräfte zunächst vernachlässigt. In vielen Fällen ist die Wirkung der Querkräfte unbedeutend. In anderen Fällen kann die Wirkung der Querkräfte entscheidend für die Festlegung von Querschnittsgröße und -art sein. Ihre Wirkung soll im folgenden näher erklärt werden. 

Die äußeren Kräfte verursachen eine Verschiebung der parallel zueinander liegenden Querschnitte. Diesen Verschiebungen müssen innere Kräfte entgegenwirken. 

Da sich die Träger bei der Belastung durchbiegen, wird der untere Bereich gezogen und der obere Bereich gedrückt. Dadurch entstehen Verschiebungen übereinanderliegender Längsschnitte. Je größer die Verschiebungen in Längsrichtung sind, um so größer sind die dabei entstehenden Längskräfte. Wenn Verschiebungen vermieden werden sollen, müssen die Längskräfte von dem Baustoff aufgenommen werden. 
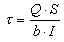
Zur näheren Betrachtung stelle man sich ein kleines Teilchen des Trägers herausgeschnitten vor. An den Oberflächen des Teilchens wirken die Verschiebungen in vertikaler und horizontaler Richtung. Diese Verschiebungen verursachen Spannungen in Richtung der Oberflächen des Teilchens. Bei den Spannungen handelt es sich um Tangentialspannungen, da sie in der Schnittfläche liegen. Sie werden als Schubspannungen t bezeichnet. Es wirken vertikal gerichtete Querschubspannungen und horizontal gerichtete Längsschubspannungen. Auch die Längsschubspannungen sind von der Querkraft Q abhängig. Außerdem wirken neben den Schubspannungen Biegespannungen s.      /9/       (Siehe [Applet 1 u. 2])
 

Spannungsrelation: 
 
 

 

 © 2001 Andrè Neubert  -  Version 1.00 vom 30.06.2001