Diplomarbeit von Andrè Neubert, HTW-Dresden (FH), Fachbereich Bauingenieurwesen/Architektur, Studiengang Bauingenieurwesen 
 Thema: "Entwicklung einer Softwarekonzeption als Lehrhilfe für symbolische Darstellungen auf dem Gebiet der Festigkeitslehre"

Eindimensionale Bauteile - Festigkeit

zzz
Torsionsspannungen

Die Torsionsbeanspruchung nimmt in der Festigkeitslehre einen sehr wichtigen Platz ein, da ihre Wirkung sehr umfangreich sein kann. Durch sie können, je nach Querschnittsform und Belastung, Normalspannungen und Tangentialspannungen entstehen, die in ihrer Größe durchaus denen der Biegung gleich kommen können. In der Praxis versucht man Torsionsbeanspruchungen weitgehend zu vermeiden, da ihre Berechnung sehr aufwendig sein kann. An dieser Stelle sei noch erwähnt, daß bei einigen Stabilitätsfällen die Torsionsbeanspruchbarkeit eine sehr wichtige Rolle spielt und der Ingenieur auch deshalb ein umfangreiches Verständnis für Torsion besitzen sollte.

Die Berechnung der Torsionsbeanspruchung kann je nach Querschnittsform, wie schon in dem Abschnitt: 4.2 Sonderproblem Querschnittskennwerte bei Torsion erwähnt wurde, eine sehr aufwendige Aufgabe sein, da bei einer Torsionsbeanspruchung neben der primären Torsionsspannung oder St. Venantschen Torsionsspannung noch sekundäre Torsionsspannung und Wölbtorsionsspannung anstehen kann. Entscheidend hierbei ist jeweils, wie der Torsionsschubfluß durch den Querschnitt fließen kann. Man unterteilt, wie schon in Abschnitt 4.2 gezeigt, deshalb die Querschnitte in drei Hauptgruppen: 

           a) Vollquerschnitte, 
           b) Dünnwandige geschlossene Querschnitte (Hohlquerschnitte), 
           c) Dünnwandige offene Querschnitte. 

Bei dieser Einteilung können noch keine Schlüsse auf die drei Torsionsspannungsarten gezogen werden. Deshalb ist eine weitere Unterteilung in wölbfreie Querschnitte und in nichtwölbfreie Querschnitte nötig. Zu den wölbfreien Querschnitten gehören nur wenige Querschnitte. Die wichtigsten sind Kreis, Kreisring und quadratischer Hohlquerschnitt mit gleichbleibender Wanddicke. Zu den nichtwölbfreien Querschnitten gehören die meisten bautechnischen Querschnitte. Dieses sind insbesondere die offenen dünnwandigen Stahlbauprofile sowie die allerdings nur gering verwölbenden Vollquerschnitte und dickwandige Hohlquerschnitte des Stahlbetonbaues oder Holzbaues. Bei letzteren sind die Wölbbeanspruchungen so gering, daß sie im allgemeinen vernachlässigbar sind. 
(Siehe [Applet 2])
 

Spannungsarten bei Torsionsbelastung 

Die Torsionsmomente können in den Stäben auf zwei verschiedene Arten aufgenommen und übertragen werden: 

           1. durch St. - Venantsche Torsion, reine Torsion, Drillung mit zugelassener 
               Axialverschiebung oder zwangsfreie Drillung. 
           2. durch Wölbkrafttorsion, Drillung mit gehinderter Axialverschiebung oder 
               Zwängungstorsion. 

Bei St. - Venantscher Torsion treten nur Schubspannungen t1 und Gleitungen y = t1/G auf; Normalspannungen und Dehnungen e = s/E werden nicht hervorgerufen.  Bei Wölbkrafttorsion werden die Stäbe nicht nur durch Schubspannungen, sondern auch durch Normalspannungen beansprucht, und die Stabelemente erleiden neben Gleitungen auch Dehnungen. Der Spannungszustand bei Wölbkrafttorsion läßt sich aufspalten in einen Teilzustand St.-Venantsche Torsion, die nur Schubspannungen t1 hervorruft, und einen zweiten Teilzustand, der Wölbnormalspannungen sw und aus ihnen folgend sekundäre Schubspannungen oder Wölbschubspannungen t2 = tw verursacht. Der Aufteilung des Spannungszustandes entsprechend läßt sich auch das Torsionsmoment Mt zerlegen in den Anteil Mt1 der durch St.-Venantsche Torsion übertragen wird, und das Wölbtorsionsmoment Mt2, das durch Wölbspannungen weitergeleitet wird. Das Verhältnis Mt1 / Mt2 schwankt in weiten Grenzen. Es hängt ebenfalls von der Form des Stabquerschnitts ab und ändert sich längs eines tordierten Stabes. Unter welchen Umständen tritt nun St.-Venantsche Torsion auf und welche Bedingungen führen zu Wölbkrafttorsion? Als Lösung dieser Frage dient die folgende Übersicht. 

1. St.-Venantsche Torsion tritt auf: 

a)  bei wölbfreien Querschnitten und näherungsweise bei nahezu wölbfreien 
    Querschnitten, 

b)  bei nicht wölbfreien Querschnitten, wenn die mit der Verdrillung des 
    Stabes zwangsläufig verbundene Verwölbung der Stabendquerschnitte durch 
    Anschlüsse und Verbindungsmittel nicht behindert wird. Da dies aus
               konstruktiven Gründen im allgemeinen nicht erreicht werden kann, kommt reine
               St.-Venantsche Torsion bei nicht wölbfreien Querschnitten selten vor. Als 
               Teilzustand der Wölbkrafttorsion (primäre Torsionsspannung) hat sie
               trotzdem große Bedeutung. 
 

2. Wölbkrafttorsion liegt vor: 

Wenn ein Stab mit nichtwölbfreiem Querschnitt zwischen seinen Enden durch konzentriert oder verteilt angreifende Drillmomente belastet wird oder wenn bei Momentenangriff nur an den Stabenden die Axialverschiebung der Punkte der Endquerschnitte be- oder verhindert wird. 

Wie bereits erwähnt, wird bei Wölbkrafttorsion das Drillmoment Mt zerlegt in den Anteil Mt1, der durch St.-Venantsche Torsion aufgenommen wird, und den Anteil Mt2, der im Stab Wölbnormal- und Wölbschubspannungen verursacht. Den beiden auf verschiedene Weise aufgenommenen Momentenanteilen entsprechen zwei verschiedene Widerstände (siehe Querschnittskennwerte), die der Querschnitt der Verdrehung entgegensetzt. Es gibt den Widerstand bei unbehinderter Axialverschiebung oder St.- Venantschen Torsionswiderstand It und den Wölbwiderstand Iw, der aus der Verhinderung von Axialverschiebungen resultiert. Dieser wird in einschlägiger Literatur mit Cm bezeichnet. Für die Baustatik ist es wichtig zu wissen, in welchem Größenverhältnis diese beiden Widerstände zueinander stehen. Sind sie etwa gleich groß, müssen beide berücksichtigt werden; ist aber der eine bedeutend kleiner als der andere, so kann der wesentlich kleinere vernachlässigt werden, was die Berechnung vereinfacht. 

Berechnung der Torsionsspannungen

zu a) Vollquerschnitte: 
zzzzzzzzzz1. Wölbfreie Querschnitte: 
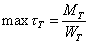
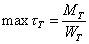
zzzzzzzzzzzzzzzzzzzKreisquerschnitt,      Spannungsrelation: 

zzzzzzzzzz2. Geringverwölbende Querschnitte: 
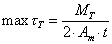
zzzzzzzzzzzzzzzzzzzQuadratischer Vollquerschnitt,     Spannungsrelation: 
zzzzzzzzzzzzzzzzzzzRecheckiger Vollquerschnitt,     Spannungsrelation: 
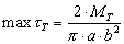
zzzzzzzzzzzzzzzzzzzEliptischer Vollquerschnitt,     Spannungsrelation: 

zu b) Dünnwandige geschlossene Querschnitte: 
zzzzzzzzzz1. Wölbfreie Querschnitte: 
zzzzzzzzzzzzzzzzzzzKreisring mit t = const.,      Spannungsrelation: 
zzzzzzzzzzzzzzzzzzzQuadratische Hohlkästen mit t = const..,    Spannungsrelation: 
zzzzzzzzzzzzzzzzzzzTrapezförmige Hohlkästen mit t = const.,    Spannungsrelation: 

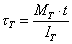
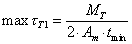
zzzzzzzzzz2. Geringverwölbende Querschnitte: Allgemeine Hohlquerschnitte mit t nicht const.,
zzzzzzzzzzzzzzzzzzzzzzzzzzzzzzzzzzzzzzzzzzzzzzzzzzzzzzzSpannungsrelation: 

zu c) Dünnwandige offene Querschnitte: 
zzzzzzzzzz1. Wölbfreie Querschnitte:
zzzzzzzzzzzzzzzzzzzzWinkelprofil mit t=const.,    Spannungsrelation: 
zzzzzzzzzzzzzzzzzzzzT-Profil mit t=const.,    Spannungsrelation: 

zzzzzzzzzz2. Nichtwölbfreie Querschnitte: 
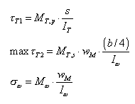
zzzzzzzzzzzzzzzzzzzzz.B. DT-Profil,     Spannungsrelationen: 
zzzzzzzzzzzzzzzzzzzz
 

 

 © 2001 Andrè Neubert  -  Version 1.00 vom 30.06.2001